公開日: 04/01/2021

CochranのQの統計量

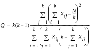
CochranのQ検定の統計量は、次のように求められます。

Equation shown here

ここで

kは、処置の数

bは、ブロック数

Xijは、i番目のブロックのk番目の処置に対する応答(0または1)

Nは、すべてのブロックおよび処置を通じた、応答が1であるものの合計度数

より詳細な情報が必要な場合や、質問があるときは、JMPユーザーコミュニティで答えを見つけましょう (community.jmp.com).