公開日: 04/01/2021

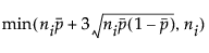
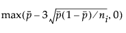
P管理図とNP管理図の管理限界

P管理図とNP管理図では、管理限界は次のように計算されます。

P管理図の下側管理限界(LCL) = Equation shown here

P管理図の上側管理限界(UCL) = Equation shown here

NP管理図の下側管理限界(LCL) = Equation shown here

NP管理図の上側管理限界(UCL) = Equation shown here

ここで

Equation shown here は、全サブグループの不適合品率の平均

Equation shown here

niは、i番目のサブグループのアイテム数

より詳細な情報が必要な場合や、質問があるときは、JMPユーザーコミュニティで答えを見つけましょう (community.jmp.com).