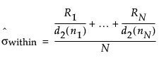
範囲の平均を用いて推定された三元管理図の群内シグマの推定値を、平均(測定値)、平均(移動範囲)、およびR管理図に使用できます。

この式では、次のような表記を使用しています。
Ri = i番目のサブグループの範囲
ni = i番目のサブグループの標本サイズ
d2(ni)は、母標準偏差が1であるni個の独立した正規分布に従う確率変数の範囲の期待値
Nは、ni ≥ 2 であるサブグループの数
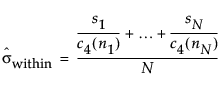
標準偏差の不変推定値の平均を用いて推定された三元管理図の群内シグマの推定値を、平均(測定値)、平均(移動範囲)、およびS管理図に使用できます。

この式では、次のような表記を使用しています。
siは、i番目のサブグループの標本の標準偏差
ni = i番目のサブグループの標本サイズ
c4(ni)は、母標準偏差が1であるni個の独立した正規分布に従う確率変数の標準偏差の期待値
Nは、ni ≥ 2 であるサブグループの数
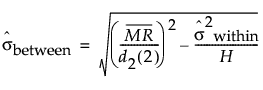
三元管理図における群間シグマ推定値は、サブグループの平均の移動範囲を使用して推定されます。

この式では、次のような表記を使用しています。
= (MR2+MR3+...+MRN)/(N-1)で算出した非欠測値の移動範囲の平均(ここで、MRi = |yi - yi-1|)
d2(2)は、母標準偏差が1である2個の独立した正規分布に従う確率変数の範囲の期待値
(サブグループの標本サイズの調和平均)。
注: 群間シグマが負の値になると推定される場合、0に設定されます。
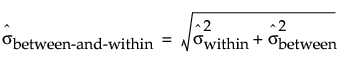
三元管理図における群間+群内シグマ推定値は、群内シグマと群間シグマ推定値の組み合わせを使用して推定されます。
