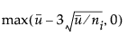
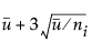
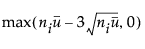
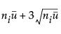
U管理図とC管理図では、管理限界は次のように計算されます。
U管理図の下側管理限界(LCL) = 
U管理図の上側管理限界(UCL) = 
C管理図の下側管理限界(LCL) = 
C管理図の上側管理限界(UCL) = 
管理限界は、niに従って変化します。
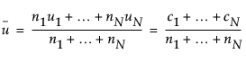
uiは、i番目のサブグループにおけるユニットあたりの不適合数。一般に、ui = ci/ni
ciは、i番目のサブグループにおける不適合数の合計
niは、i番目のサブグループの検査ユニット数
は、全サブグループのユニットあたり不適合数の平均。数量
は、重み付き平均として計算されます。

Nは、サブグループの数