XBar-S管理図の管理限界は、次のように計算されます。
XBar管理図の下側管理限界(LCL) = 
XBar管理図の上側管理限界(UCL) = 
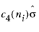
S管理図の下側管理限界(LCL) = 
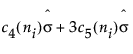
S管理図の上側管理限界(UCL) = 
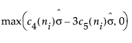
S管理図の中心線: 第iサブグループ(ここに、3はシグマの乗数)の中心線は、デフォルトではsiの期待値の推定値を示し、
で計算されます。この式で、
はσの推定値です。3はσに対する乗数です。
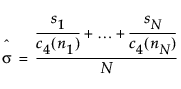
XBar-S管理図の標準偏差の推定値は、次のようになります。

ここで
= サブグループ平均の重み付き平均
σ = 工程の標準偏差
ni = i番目のサブグループの標本サイズ
c4(n)は、母標準偏差が1であるn個の独立した正規分布に従う確率変数の標準偏差の期待値
c5(n)は、母標準偏差が1であるn個の独立した正規分布に従う確率変数の標準偏差の標準偏差
Nは、ni ≥ 2 であるサブグループの数
siは、i番目のサブグループから計算された標準偏差