収束スコア検定反復計算の収束に失敗すると、「収束スコア検定」というレポートが表示されます。この検定では、「最尤推定値は、現在の反復計算で得られた最終ステップでのパラメータ値と等しい」という帰無仮説に対するスコア検定が表示されます。この検定は、収束基準として用いている相対的な傾き(gradient)を、検定統計量として用いています。なお、このスコア検定は、本当の最尤推定値がどのような値を取るかを知る必要がありません。
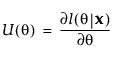
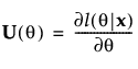
スコア検定最初に、推定するパラメータqが1個の場合を見てみましょう。qにおける対数尤度関数をl、得られたデータをxとします。qにおける対数尤度関数の導関数のベクトルを、「スコア」と呼びます。

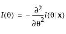
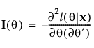
以下のように、対数尤度関数を2回微分したことによって得られる行列を、「(観察された)情報量行列」と呼びます。

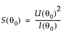
H0: θ = θ0 に対するスコア検定の検定統計量は次のとおりです。

この検定統計量は、帰無仮説のもとで、自由度が1の漸近的なカイ2乗分布に従います。
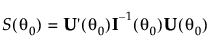
スコア検定は、複数のパラメータに対して一般化できます。複数のパラメータを含むベクトルをqとすると、H0: θ = q0 に対するスコア検定の検定統計量は次のとおりです。

この式で、

および

また、U′は、行列Uの転置を表します。
この検定統計量は、自由度kのカイ2乗分布に漸近的に従います。ここで、kは、制約されていない自由パラメータの個数です。
相対的な勾配[混合モデル]手法での収束基準は相対的な勾配g′H−1gに基づいています。ここで、g(q) = U(q)は対数尤度関数の勾配、H(q) = −I(q)はヘッセ行列です。
q0 を、反復計算が終了したときのqの値とします。q0 で評価される相対的な勾配が、スコア検定の検定統計量となります。p値は、自由度kのカイ2乗分布に基づいて計算されます。このp値によって、「最尤推定値は、q0と等しい」という帰無仮説が検定されます。なお、kは、「変量効果の共分散パラメータ推定値」レポートにリストされている、制約されていないパラメータの個数です。