データの標本サイズはnで、p ‐ 1の説明変数があるとします。このデータに対するn x pの計画行列を、Xとします。Xの第1列は、通常、切片を表し、すべての要素が1である列ベクトルになっています。残りのp ‐ 1個の列は説明変数の値を含みます(名義尺度の列はダミー変数に変換され、各ダミー変数が行列Xの1列になります)。
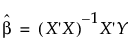
パラメータ推定値のベクトルは、次式によって求められます。

ここで、Yは応答値のベクトルです。
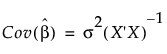
回帰モデルの通常の仮定のもとでは、
の共分散行列は次のようになります。

ここで、σ2は応答の分散(誤差の分散)です。
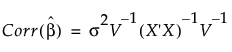
相関は、共分散を標準偏差の積で割ったものです(標準偏差は、共分散行列の対角要素の平方根です)。Vを、次式のように計算される、標準偏差を対角要素にもつ対角行列とします。

パラメータ推定値の相関行列は、次式で求められます。
