公開日: 04/01/2021

Cronbachのa係数

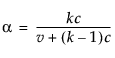
Cronbachのa係数は、次の式で定義されています。

Equation shown here

ここで

k = 測定に使われている項目の個数(変数の個数)

c = 項目間の共分散の平均値

v = 項目間の分散の平均値

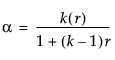
全項目が標準化されていて、分散が1なら、次のようになります。

Equation shown here

ここで

rは、項目間の相関の平均値です。

全体のa係数が大きければ、その項目から作られる尺度やテストの信頼性が高いことを示唆しています。強い相関関係にある項目が多いと、α係数は1.0に近くなります。

より詳細な情報が必要な場合や、質問があるときは、JMPユーザーコミュニティで答えを見つけましょう (community.jmp.com).