推定が「可能な場合のみ」に設定されている効果を含む計画(Bayes流のD-最適計画)の場合、交絡行列は次のようになります。

ここで、Kは次のような値を持つ対角行列です。
• 推定が「必須」の項について、k = 0
• 推定が「可能な場合のみ」の主効果、べき乗の項、3水準以上のカテゴリカル因子が関係する交互作用について、k = 1
• その他の「可能な場合のみ」の項について、k = 4
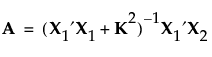
Bayes流の最適計画の場合、交絡行列は、
の事前分散を持つリッジ回帰に該当する効果の交絡を示します。Bayes流の計画について詳しくは、Bayes流のD-最適化基準およびBayes流のI-最適化基準を参照してください。
「カスタム計画」プラットフォームでは、「可能な場合のみ」の項に適用される重みを変更できます。それには、「カスタム計画」レポートの赤い三角メニューから[詳細オプション]>[事前パラメータ分散]を選択します。呼び出されたウィンドウで、すべてのモデル項に対し、K行列における対角要素の値を自由に指定できます。[計画の作成]をクリックすると、そこで指定された重みが計算に使われます。