Beta Binomial Distribution(k, p, n, delta)
説明
ベータ二項分布の累積分布関数を戻す。ベータ二項分布に従う確率変数がk以下になる確率です。累積確率は、Xの値が0からkまでの範囲において、ベータ二項分布に従う確率関数を累積した値です。
引数
k
対象となる度数kは整数でなければなりません。
p
各試行の成功確率。値は0~1の間でなければなりません。
n
試行回数。値は1より大きくなければなりません。
delta
過分散パラメータ。値の範囲は、Maximum[-p/(n-p-1), -(1-p)/(n-2+p)]~1です。過分散パラメータがゼロの場合、分布はBinomial(n, p)になります。
Beta Binomial Probability(k, p, n, delta)
説明
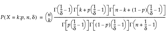
ベータ二項分布の確率関数を戻す。ベータ二項分布に従う確率変数がkと等しくなる確率を戻す。確率関数は、次のように表記できます。

引数
k
対象となる度数kは整数でなければなりません。
p
各試行の成功確率。値は0~1の間でなければなりません。
n
試行回数。値は1より大きくなければなりません。
delta
過分散パラメータd。値の範囲は、Maximum[-p/(n-p-1), -(1-p)/(n-2+p)]~1です。過分散パラメータがゼロの場合、分布はBinomial(n, p)になります。
メモ
ベータ二項分布は、x|pが二項分布(n,p)に従い、pがベータ分布(p(1-d)/d,(1-p)(1-d)/d)に従うという仮定から導出できます。異なる成功確率を持つ複数の二項分布を組み合わせたデータで有効です。『基本的な統計分析』の一変量の分布を参照してください。
Beta Binomial Quantile(p, n, delta, cumprob)
説明
ベータ二項分布の分位点関数。ベータ二項分布(p, n, delta)の累積確率がcumprob以上となるような整数の分位点のうち、最小のものを戻す。
引数
p
各試行の成功確率。pは0~1の間でなければなりません。
n
試行回数。値は1より大きくなければなりません。
delta
過分散パラメータd。値の範囲は、Maximum[-p/(n-p-1), -(1-p)/(n-2+p)]~1です。過分散パラメータがゼロの場合、分布はBinomial(n, p)になります。
cumprob
モデル化したい分位点の累積確率。cumprobは0~1の間でなければなりません。
Binomial Distribution(p, n, k)
説明
二項分布の累積分布関数を戻す。二項分布に従う確率変数がk以下になる確率です。累積確率は、Xの値が0からkまでの範囲において二項分布に従う確率関数を累積した値です。
引数
p
各試行の成功確率。pは0~1の間でなければなりません。
n
試行回数。
k
成功回数。値は、n以下でなければなりません。
Binomial Probability(p, n, k)
説明
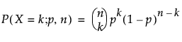
二項分布の確率関数を戻す。これは、二項分布に従う変数がkと等しくなる確率です。確率関数は、次のように表記できます。

引数
p
各試行の成功確率。pは0~1の間でなければなりません。
n
試行回数。
k
成功回数。値は、n以下でなければなりません。
Binomial Quantile(p, n, cumprob)
説明
ベータ二項分布(p, n)の累積確率がcumprob以上となるような整数の分位点のうち、最小のものを戻す。
引数
p
各試行の成功確率。pは0~1の間でなければなりません。
n
試行回数。
cumprob
モデル化したい分位点の累積確率。cumprobは0~1の間でなければなりません。
Gamma Poisson Distribution(k, lambda, sigma)
説明
ガンマPoisson分布の累積分布関数を戻す。これは、ガンマPoisson分布に従う確率変数がk以下になる確率です。累積確率は、Xの値が0からkまでの範囲において、ガンマPoisson分布に従う確率関数を累積した値です。
引数
k
対象となる度数kは整数でなければなりません。
lambda
形状パラメータl。値は0より大きくなければなりません。これは、分布の平均です。
sigma
過分散パラメータs。値は1以上でなければなりません。過分散パラメータが1の場合、分布はPoisson(l)分布になります。
Gamma Poisson Probability(k, lambda, sigma)
説明
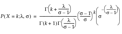
ガンマPoisson分布の確率関数を戻す。これは、ガンマPoisson分布に従う確率変数がkに等しくなる確率です。確率関数は、次のように表記できます。

この式で、G(·)はガンマ関数です。
引数
k
対象となる度数kは整数でなければなりません。
lambda
形状パラメータl。値は0より大きくなければなりません。これは、分布の平均です。
sigma
過分散パラメータs。値は1以上でなければなりません。過分散パラメータが1の場合、分布はPoisson(l)分布になります。
メモ
ガンマPoisson分布は、X|mが平均mのPoisson分布に従い、その平均がGamma(l/(s-1),s-1)分布に従うという仮定から導出できます。異なるmを持つ複数のPoisson(m)分布を組み合わせたデータで有効です。『基本的な統計分析』の一変量の分布を参照してください。
Gamma Poisson Quantile(lambda, sigma, cumprob)
説明
ガンマPoisson分布の分位点関数。ガンマPoisson分布(lambda, sigma)の累積確率がcumprob以上となるような整数の分位点のうち、最小のものを戻す。
引数
lambda
形状パラメータl。値は0より大きくなければなりません。これは、分布の平均です。
sigma
過分散パラメータs。値は1以上でなければなりません。過分散パラメータが1の場合、分布はPoisson(l)分布になります。
cumprob
モデル化したい分位点の累積確率。cumprobは0~1の間でなければなりません。
Hypergeometric Distribution(N, K, n, x, <r>)
説明
超幾何分布の累積分布関数を戻す。これは、超幾何分布に従う確率変数がx以下になる確率です。累積確率は、Xの値が0からxまでの範囲において、超幾何分布に従う確率関数を累積した値です。
引数
N
母集団のサイズ。
k
母集団の中で対象となるカテゴリに属する個数。
n
標本サイズ。
x
対象となる度数。値は、nおよびk以下でなければなりません。
r
(オプション)オッズ比。
Hypergeometric Probability(N, k, n, x, <r>)
説明
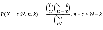
超幾何分布の確率関数を戻す。これは、超幾何分布に従う確率変数がxと等しくなる確率です。確率関数は、次のように表記できます。

引数
N
母集団のサイズ。
k
母集団の中で対象となるカテゴリに属する個数。
n
標本サイズ。
x
対象となる度数。値は、nおよびk以下でなければなりません。
r
(オプション)オッズ比。
Neg Binomial Distribution(p, n, k)
説明
負の二項分布の累積分布関数を戻す。これは、負の二項分布に従う確率変数がk以下になる確率です。累積確率は、Xの値が0からkまでの範囲において負の二項分布に従う確率関数を累積した値です。
引数
p
各試行の成功確率。pは0~1の間でなければなりません。
n
成功回数。
k
n回目の成功の前にあった失敗の回数。
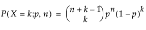
Neg Binomial Probability(p, n, k)
説明
負の二項分布の確率関数を戻す。これは、負の二項分布に従う確率変数がkと等しくなる確率です。確率関数は、次のように表記できます。

引数
p
各試行の成功確率。pは0~1の間でなければなりません。
n
成功回数。
k
n回目の成功の前にあった失敗の回数。
メモ
確率関数の戻り値は、k回失敗した後でn回目の成功を観測する確率です。
Poisson Distribution(lambda, k)
説明
Poisson分布の累積分布関数を戻す。これは、指定の平均(lambda)を持つPoisson分布に従う確率変数が、k以下になる確率です。累積確率は、Xの値が0からkまでの範囲において、Poisson分布に従う確率関数を累積した値です。
引数
k
指定した時間間隔におけるイベントの発生回数。kは整数でなければなりません。
lambda
形状パラメータl。値は0より大きくなければなりません。これは、分布の平均です。
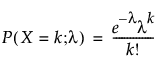
Poisson Probability(lambda, k)
説明
Poisson分布の確率関数を戻す。これは、指定の平均(lambda)を持つPoisson分布に従う確率変数が、kに等しくなる確率です。確率関数は、次のように表記できます。

引数
k
指定した時間間隔におけるイベントの発生回数。kは整数でなければなりません。
lambda
形状パラメータl。正の値。これは、分布の平均です。
Poisson Quantile(lambda, cumprob)
説明
Poisson分布の分位点関数。Poisson分布(lambda, sigma)の累積確率がcumprob以上となるような整数の分位点のうち、最小のものを戻す。
引数
lambda
形状パラメータl。正の値。これは、分布の平均です。
cumprob
モデル化したい分位点の累積確率。cumprobは0~1の間でなければなりません。