ここでは、「階層型クラスター分析」プラットフォームで使用される距離を説明します。どの距離を分析に使用するかは、起動ウィンドウで選択できます。それぞれの距離の特徴については、距離の計算方法も参照してください。
計算式では、次のような記号を使います。小文字はオブザベーション(データ行)に関連するもの、大文字はクラスターに関連するものです。
n: オブザベーションの数
v: 変数の数
xi: i番目のオブザベーション
CK: K番目のクラスター。{1, 2, ..., n} の部分集合を含む。
NK: CKに含まれるオブザベーションの数
: 標本平均ベクトル
: クラスターCKの平均ベクトル
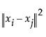
: xの要素の2乗和の平方根(ベクトルxのユークリッド距離)
d(xi,xj):
群平均法
群平均法の距離(の2乗)は、次の式で計算されます。

重心法
重心法の距離(の2乗)は、次の式で計算されます。

Ward法
Ward法の距離(の2乗)は、次の式で計算されます。

最短距離法
最短距離法の距離(の2乗)は、次の式で計算されます。

最長距離法
最長距離法の距離(の2乗)は、次の式で計算されます。
