データに欠測値がある場合、REML法(制限最尤法)は、最尤法に比べて、推定値のバイアスが小さいのが特徴です。REML法は、誤差対比(error contrast)から導出された周辺尤度を最大化する推定方法です。REML法は、分散および共分散を推定するのによく使われます。[多変量の相関]の[REML]は、反復測定データの相関構造に無構造(unstructured)を仮定した混合モデルのREML推定と同じです。混合モデルのREML推定については、SAS Institute Inc.(2018e)の「MIXED Procedure」章を参照してください。
この手法では、外れ値に対して小さな重みを与えることで、外れ値が実質的に無視されます。推定において、次式により重みを反復的に計算します。
Q < K の場合は wi = 1.0、そうでない場合は wi = K/Q
ここで、Kは、データの列数を自由度としたカイ2乗分布の75%点です。また、Qは次式により計算されます。

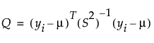
ここで、yiはi行目のデータ、mは平均ベクトルの現在の推定値、S2は共分散行列の現在の推定値です。また、Tは行列の転置を意味します。なお、各反復の最後において、分散共分散行列の推定値が不偏になるように調整が行われます。
ロバスト推定は、データに外れ値があまりない場合には、通常の推定方法に比べ、推定値のばらつきが大きくなります。しかし、データに外れ値がある場合には、通常の方法に比べて、精度が高い推定値が得られます。