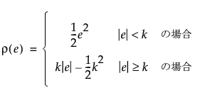
[ロバストなあてはめ]オプションで用意されている手法は、応答変数の外れ値が推定結果に与える影響が少ないものです。HuberのM推定が使用されます。HuberのM推定では、次式によって定義されているHuberの損失関数を最小にするパラメータ推定値を求めます。

この式で、

eiは残差を表します
Huberの損失関数は、誤差が小さい場合は2次曲線として増加し、誤差が大きい場合は線形に増加します。JMPのアルゴリズムでは、k = 2としています。ロバストなあてはめの詳細については、Huber(1973)およびHuber and Ronchetti(2009)を参照してください。