公開日: 04/01/2021

度数

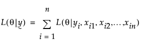
度数の列を指定した場合、各行の度数は損失関数に影響します。なお、度数は必ずしも整数である必要はありません。応答yiと説明変数xi1xi2、...、xinをデータとして、パラメータθを推定するとします。度数の列が指定されていない場合、損失関数は次式で定義されます。

Equation shown here

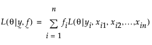
各行の度数がfiである場合、損失関数は次式で定義されます。

Equation shown here

パラメータ推定値・標準誤差・仮説検定・信頼区間などの統計的推測は、上式によって定義される損失関数に基づいて行われます。

より詳細な情報が必要な場合や、質問があるときは、JMPユーザーコミュニティで答えを見つけましょう (community.jmp.com).