公開日: 04/01/2021

[k標本平均]

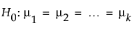
[k標本平均]は、2~10個の平均に対する仮説検定における標本サイズを求めます。標本サイズと検出力は、次のような帰無仮説に対するものです。

Equation shown here

計算で想定されている検定は両側検定であり、対立仮説は次のとおりです。

Ha : いずれかのグループの母平均が他と異なる

ここで

Equation shown here

より詳細な情報が必要な場合や、質問があるときは、JMPユーザーコミュニティで答えを見つけましょう (community.jmp.com).