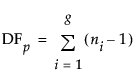
たとえば、身長が同じ生徒が複数名いるとします。一般に、X値が同じであるグループがg個あるとき、純粋誤差の自由度(DFp)は、次式のように各グループの自由度を足し合わせることで求められます。

ここで、niはi番目のグループのオブザベーション数を表します。
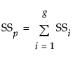
一般に、X値が同じであるグループがg個あるとき、純粋誤差の平方和(SSp)は、次式のように各グループの平方和を足し合わせることで求められます。

ここで、SSiはi番目のグループにおける平方和(各グループで、グループの平均を引いて計算された平方和)です。
「純粋誤差」は、指定されたモデルに関係なく不変です。また、あらゆるモデルの中での誤差分散の最小値を示します。「最大R2乗」は、次式で計算されます。
