公開日: 04/01/2021

Levey-Jennings管理図

Levey-Jennings法の管理図では、長期シグマに基づいて、工程平均と管理限界を計算します。管理限界は、中央線から3sの位置にあります。

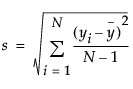
Levey-Jennings管理図における標準偏差(s)は、「一変量の分布」プラットフォームの標準偏差と同じ方法で計算されます。

Equation shown here

より詳細な情報が必要な場合や、質問があるときは、JMPユーザーコミュニティで答えを見つけましょう (community.jmp.com).