ロジスティック回帰では、名義尺度の応答変数Yが、説明変数Xの線形モデルにあてはめられます。より厳密に言えば、応答変数の各水準が生じる確率が、ロジスティック関数を使ってモデル化されます。応答変数が2水準のときのロジスティックモデルは、次のように表されます。
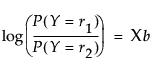
この式で、r1は応答の第1水準
または
この式で、r1は応答の第1水準、r2は第2水準
注: Yが2水準で名義尺度である場合は、「モデルのあてはめ」ウィンドウの「イベントを示す水準」でどちらの水準の確率をモデル化するかを指定できます。r1の方が、「イベントを示す水準」に相当します。
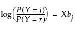
名義尺度の応答の水準数をrとし、r > 2の場合、モデルは次の式で表されるr − 1個の線形モデルパラメータで定義されます。

これらのモデルは、最尤法によって推定されます。最尤法では、応答のデータ値が生じる確率を最大にするモデルパラメータbjを求めます。この推定方法は、負の対数尤度((-1)*対数尤度)を最小化するのと等価です。
