公開日: 04/01/2021

正規分位点プロット

各値の経験累積確率は、次のような式で計算されます。

Equation shown here

ここで、riはデータ値の順位、Nは非欠測値の個数を表します。

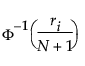
正規分位点の値は次のような式で計算されます。

Equation shown here

ここで、Fは正規分布の累積確率分布関数です。

これらの正規分位点の値は、正規分布を仮定したときの順序統計量の期待値に対するVan der Waerden の近似値です。

より詳細な情報が必要な場合や、質問があるときは、JMPユーザーコミュニティで答えを見つけましょう (community.jmp.com).