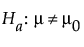
[1標本平均]は、1つの平均の仮説検定を行うための標本サイズを計算します。標本サイズ、検出力、有意性、検出したい差の間のトレードオフ関係を調べることができます。標本サイズと検出力の計算で想定されている検定は、次のような帰無仮説に対するものです。

両側検定における対立仮説は次のとおりです。

ここで、μは母平均、μ0は仮説値(帰無仮説における母平均)です。検出する差は、μ0 からどれだけ離れているかを示すδで、一つの標本に基づいて検出できると考えられる大きさです。有意水準と検出力が一定ならば、より小さい差を検出するには、より大きい標本サイズが必要になります。検出力分析は、母集団での観測値が平均μ、標準偏差σの正規分布に従うことを前提として算出されます。
図17.3 [1標本平均]での標本サイズ/検出力