「パラメータ推定値」レポートは、モデルパラメータの推定値を表示します。各パラメータに対して、「パラメータが0である」という帰無仮説に対するt検定を行います。
注: モデル項の間に一次従属性がある場合でも、「パラメータ推定値」レポートでは、推定値がなるべく計算され、検定されます。ただし、一次従属性がある項は、推定値を一意的に決められないので、「バイアスあり」または「ゼロに固定」と表示されます。一次従属性がある場合を参照してください。
項
パラメータ推定値に対応するモデル項。「モデルのあてはめ」起動ウィンドウで[切片なし]オプションを選択した場合を除いて、最初の項は常に切片です。連続尺度の変数は、データテーブルの列名で表されます。連続尺度の列で高次の効果に使われているものは中心化される場合があります。名義尺度や順序尺度の効果では、列名のあとに、括弧で囲んだ水準値が表示されます。名義尺度および順序尺度の項のコード変換については、名義尺度効果のコード変換および因子(説明変数)の取り扱い方を参照してください。
推定値
各項のパラメータ推定値。これらは、モデル係数の推定値です。モデル項間に一次従属性がある場合、それらの項には「バイアスあり」または「ゼロに固定」と表示されます。一次従属性がある場合を参照してください。
標準誤差
各パラメータ推定値の標準誤差の推定値。
t値
各パラメータの真の値は0かどうかという帰無仮説を検定します。t値は、「推定値」をその「標準誤差」で割ったものです。モデルに関するいくつかの仮定が満たされ、帰無仮説が成り立つときは、このt値はStudentのt分布に従います。
p値(Prob>|t|)
「真のパラメータ値は0である」という帰無仮説、「真のパラメータ値は0ではない」という対立仮説の両側検定に対するp値。
下側95%
パラメータ推定値の両側95%信頼区間の下限。[回帰レポート]>[信頼区間をすべて表示]オプションを選択した場合、またはレポートを右クリックし、[列]>[下側95%]を選択した場合にのみ表示されます。
上側95%
パラメータ推定値の両側95%信頼区間の上限。[回帰レポート]>[信頼区間をすべて表示]オプションを選択した場合、またはレポートを右クリックし[列]>[上側95%]を選択した場合にのみ表示されます。
標準β
すべての項を平均0、分散1に標準化したときの回帰モデルから得られるパラメータ推定値(標準化偏回帰係数)。この列は、レポートを右クリックし、[列]>[標準β]を選択した場合のみ表示されます。
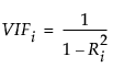
VIF
各項の分散拡大係数(VIF; Variance Inflation Factor)。この値が大きい場合、各項間に共線性があると考えられます。
i番目の項xiに対するVIFは、次式によって表されます。

この式において、Ri 2はxiを応答変数とし、その他の変数を説明変数として回帰分析したときの決定係数(R2乗)です。この列は、レポートを右クリックし、[列]>[VIF]を選択した場合のみ表示されます。
計画の標準誤差
パラメータ推定値の相対分散の平方根(Goos and Jones, 2011, p. 25)。

これらは、標準誤差をRMSEで割った値です。この列は、レポートを右クリックし、[列]>[計画の標準誤差]を選択した場合のみ表示されます。