公開日: 04/01/2021

Pearsonの積率相関係数

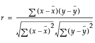
Pearsonの積率相関係数は、二変量間の線形関係の強さを表します。応答変数をXYとしたとき、Pearsonの積率相関係数rは、次のように計算されます。

Equation shown here

二変量間に完全な線形関係がある場合、相関係数は1(正の相関)または-1(負の相関)になり、線形関係がない場合は、0に近くなります。

より詳細な情報が必要な場合や、質問があるときは、JMPユーザーコミュニティで答えを見つけましょう (community.jmp.com).