公開日: 04/01/2021

検出力

検出力を計算するには、非心度のF分布を使用します。計算式は、次のとおりです(O’Brien and Lohr 1984)。

Power = Prob(F > Fcrit, n1, n2, nc)

ここで、

非心度パラメータnc、分子自由度n1、分母自由度n2F分布に従う確率変数が、 Fcritよりも大きくなる確率を指します。F(nc, n1, n2)n1およびn2の自由度を持つF分布の累積確率1 - aにおける分位点です。

n1 = r-1は分子自由度。

n2 = r(n - 1)は分母自由度。

nは、各グループの標本サイズ。

rはグループの数。

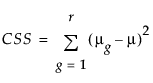
nc = n(CSS)/s2は非心度パラメータ。

Equation shown here は仮説の平方和。

mgg番目のグループの平均。

mは全体平均。

s2は誤差の分散。

より詳細な情報が必要な場合や、質問があるときは、JMPユーザーコミュニティで答えを見つけましょう (community.jmp.com).