この節では、ディシジョンツリーとブートストラップ森における予測確率の計算方法を説明します。
ディシジョンツリーにおいて、応答変数がカテゴリカルの場合、[割合を表示]コマンドにより次の統計量が表示されます。
割合
応答の各水準の、ノードに占める割合を示します。
確率
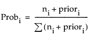
応答の各水準の予測確率を示します。あるノードにおける、応答の第i水準の「確率」は、次式によって計算されます。

上の式で、合計は応答の全水準にわたって行われ、niはそのノードにおける第i水準の標本サイズ、prioriは第i水準の事前確率です。事前確率は次式で計算されます。
priori = lpi+ (1-l)Pi
上の式で、piは親ノードのpriori、Piは親ノードのProbi、lは重み係数で0.9に設定されています。
このように定義された「確率」は、ゼロにならないという長所があります。