公開日: 04/01/2021

予測区間

JMPでは、次式により予測区間を計算しています。

将来のm個の観測値に対する予測区間

Equation shown here ただしEquation shown here

将来のm個の観測値から計算される平均に対する予測区間

Equation shown here ただしEquation shown here

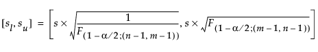
将来のm個の観測値から計算される標準偏差に対する予測区間

Equation shown here ただしEquation shown here

上式において、mは将来の観測値の個数、nは現在、分析に用いているデータの標本サイズです。

なお、予測区間が片側の場合には、1-aの分位点を用いて計算します。

Meeker et al.(2017, ch.4)を参照してください。

より詳細な情報が必要な場合や、質問があるときは、JMPユーザーコミュニティで答えを見つけましょう (community.jmp.com).