計画の詳細を指定した後、[続行]をクリックすると、ウィンドウに新しいアウトラインが3つ追加されます。
図22.19 追加される3つのアウトライン
候補の実験数
「候補の実験数」アウトラインには、加速因子の水準ごとに、最小および最大のユニット数を入力します。既存の試験に追加試験を行う場合には、すでに実験済みのユニットの個数を、「最小ユニット数」列に水準ごとに入力します。
釣合い型計画でのパラメータ分散
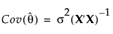
釣合い型計画におけるパラメータ推定値の分散共分散行列に比例した行列。
モデル式をパラメータθについて一次偏微分した行列をXとし、誤差分散をσ2とします。通常の条件で、θの最小2乗推定量は、漸近的には不偏であり、次の漸近的な分散共分散行列を持ちます。

「釣合い型計画」の「パラメータ分散」は(X‘X)-1です。なお、微分値は数値計算によって求められます。なお、この計算は、「事前平均」アウトラインで指定された値を真のパラメータ値とみなして行われます。
非線形モデルを参照してください。
分布プロファイル
釣合い型計画に基づいて、指定された加速因子と時間に対する故障確率が求められます。これらの故障確率は、事前平均で指定された値を真のパラメータ値として計算しています。
ヒント: 「分布の選択」、「事前平均」、「計画の設定」の設定を変更した場合は、[プロファイルの更新]をクリックするとプロファイルが更新されます。