公開日: 04/01/2021

標準偏差の検定

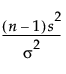
検定統計量は次の式で計算されます。

Equation shown here

検定統計量は、母集団が正規分布に従うとき、自由度n - 1のカイ2乗分布に従います。

「最小p値」は、両側検定のp値で、次の式で計算されます。

2×min(p1,p2)

ここで、p1は下側の片側検定のp値で、p2は上側の片側検定のp値です。

より詳細な情報が必要な場合や、質問があるときは、JMPユーザーコミュニティで答えを見つけましょう (community.jmp.com).