Xを予測変数の行列、Yを応答変数の行列とします。これらは、起動ウィンドウでの選択内容に基づいて中心化・尺度化される場合があります。Yの成分は互いに独立で、共通の分散σ2の正規分布に従うと仮定します。
Hoskuldsson(1988)はスコアを説明変数としたYに対する回帰モデルとして見れば、PLSモデルは線形重回帰モデルと形式的に似ていると述べています。彼は、この類似性を使って、予測値の分散の近似式を紹介しています。Umetrics(1995)も参照してください。ただし、Denham(1997)は、PLSの予測値は、Yの非線形関数であると指摘しています。彼は、予測値の信頼区間を求めるのに、ブートストラップや交差検証の手法を推奨しています。「PLS回帰」プラットフォームでは、Umetrics(1995)で説明されている正規分布に基づく計算を用いています。
以下では、Xスコアの行列をTとし、Xの新しい観測値x0を考えます。Yに対する予測値は、Tに対するYの回帰モデルで算出されます。x0に対応したスコアベクトルをt0と記します。
aを因子の数とします。s2を、データが中心化されている場合は残差平方和をdf = n - a -1で除算したもの、データが中心化されていない場合は残差平方和をdf = n - aで除算したものとします。このs2は、σ2の推定値です。
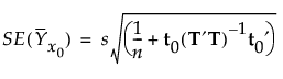
x0における応答変数の平均に対する標準誤差は、次式で推定されます。

t0.975,dfを、データが中心化されている場合は自由度df = n - a -1のt分布の97.5%点、データが中心化されていない場合はdf = n - aのt分布の97.5%点とします。
平均の95%信頼区間は、次式で求められます。

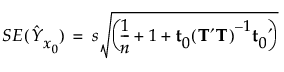
x0における個々の応答値に対する標準誤差は、次式で推定されます。

t0.975,dfを、データが中心化されている場合は自由度df = n - a -1のt分布の97.5%点、データが中心化されていない場合はdf = n - aのt分布の97.5%点とします。
個々の応答値に対する95%信頼区間は、次式で求められます。
