図G.5の1番目のチャートでは、すべての[X, グループ変数]がX軸に表示されています。1番目のチャートにおける「一致性(%)」の値は次式で計算されます。

図G.5の2番目のチャートでは、すべての[Y, 応答変数]がX軸に表示されています。2番目のチャートにおける「一致性(%)」の値は次式で計算されます。

これらの式で使われている各記号の意味は、次の通りです。
• n = 部品の数(グループ変数がもつ水準の数)
• ri = 部品i (i = 1,...,n)の判定回数(繰り返し数)
• m = 判定者の数
• k = 水準の数
• Ni = m x ri。部品i (i = 1,...,n)の判定回数。これには、判定者全員を表す応答と、部品ごとの繰り返しの判定も含まれます。たとえば、部品iが3人の判定者により3回判定された場合、Niは3 x 3 = 9となります。
例として、3人の判定者による次のようなデータを取り上げてみましょう。各判定者は、同一部品を、3回繰り返し判定しています。
|
|
A |
B |
C |
|---|---|---|---|
|
1 |
1 |
1 |
1 |
|
2 |
1 |
1 |
0 |
|
3 |
0 |
0 |
0 |
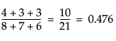
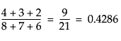
この表のデータを使った場合、式は次のようになります。
一致性(%) =
一致性(%) [判定者A] = 一致性(%) [判定者B] = 
一致性(%) [判定者C] =