釣合い型不完備ブロック計画においては、全体の標本サイズは、次式で求められます。
N = ar = bk
ここで
aは、処置の水準数
rは、計画全体において各処置が生じる度数
aは、ブロック数
kは、1ブロックあたりの実験回数
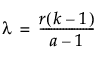
処置の各ペアが発生するブロック数(会合数)は、次のように求められます。

ここで、λは整数でなければなりません。
これらは、釣合い型不完備ブロック計画を作成するための必要条件ですが、十分条件ではありません。「釣合い型不完備ブロック計画」プラットフォームは、釣合い型不完備ブロック計画になる条件を満たすようなブロック数を表示します。
[実験全体の反復も一覧に含める]を選択した場合、元の釣合い型不完備ブロック計画が指定の数だけ反復されます。追加された(複製された)ブロックは、元の計画を循環させて反復したものです。反復されたブロックにおける処置の位置は、元の計画とは異なります。
釣合い型不完備ブロック計画の詳細については、SAS Institute(2013)を参照してください。