ここでは、[連続分布のあてはめ]メニューで用意されている統計分布について説明します。
注: JMP 15では、分布のあてはめの一部の機能が新しくなりました。ここでは、互換性のために残されているJMP旧版の機能について説明します。旧版のメニューを表示するには、変数の赤い三角ボタンをクリックし、[連続分布のあてはめ]>[旧版のメニューを有効にする]を選択してください。
正規分布のあてはめについては、正規のあてはめを参照してください。
対数正規分布のあてはめについては、対数正規のあてはめを参照してください。
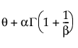
Weibull分布は、a(尺度パラメータ)とb(形状パラメータ)によって決められる分布です。特に機械装置や生物学上の寿命を推定するときのモデルとしてよく使用されます。
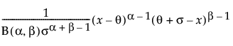
Weibull分布および閾値つきWeibull分布の確率密度関数は、次のような式で計算されます。
確率密度関数:
ただし a,b > 0; q < x
E(x) =
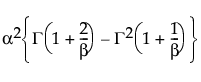
Var(x) =
ここで、G(·)はガンマ関数です。
[Weibull]オプションでは、閾値パラメータ(q)が0に設定されます。[閾値つきWeibull]オプションでは、データの最小値を使って閾値パラメータ(q)を推定し、残りのデータを使ってaとbを推定します。閾値パラメータが既知の場合は、[分布パラメータの指定]オプションで、その値を指定してください。あてはめた分布のオプションを参照してください。
注: 「寿命の一変量」プラットフォームでは、「一変量の分布」プラットフォームと異なる方法で、閾値つきWeibull分布の閾値パラメータを推定しています。閾値つきWeibull分布の推定には、「寿命の一変量」プラットフォームの推定方法のほうが適しています。『信頼性/生存時間分析』の「寿命の一変量」プラットフォームの統計的詳細を参照してください。
[極値]分布は、2パラメータのWeibull分布における(a,b)を、d = 1 / bおよびl = ln(a)に変換した分布です。
指数分布のあてはめについては、指数のあてはめを参照してください。
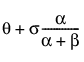
[ガンマ]オプションを選択すると、ガンマ分布があてはめられ、a > 0、s > 0 というパラメータが推定されます。aは分布の形状を、sは分布の尺度を表します。「閾値」(q)と呼ばれる3番目のパラメータは、分布の下限値を示します。この閾値パラメータは、デフォルトでは0に設定されていますが(負のデータ値がない場合)、[分布パラメータの指定]オプションを選択すれば、任意の値に変更できます。あてはめた分布のオプションを参照してください。
確率密度関数:
ただし 0 ≤ x; 0 < a,s
E(x) = as + q
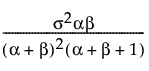
Var(x) = as2
• s = 1の時のガンマ分布は、標準ガンマ分布と呼ばれています。σを変更すると、分布が横軸に沿って伸縮します。このようなパラメータは、一般に、尺度パラメータと呼ばれています。
• s = 2、a = n/2、q = 0のときのガンマ分布は、カイ2乗分布
になります。
• a = 1、q = 0のときのガンマ分布は、指数分布になります。
ガンマ分布の密度関数は、a ≤ 1の場合、常に減少します。a > 1の場合、0から最大値に達するまで増加した後、減少します。
ベータ分布の中で、標準ベータ分布は、(0, 1)の区間しか取りません。標準ベータ分布は、割合などの0から1の範囲に収まるデータに対してよく使われています。[ベータ]オプションを選択すると、ベータ分布の2つの形状パラメータa > 0、b > 0と、2つの閾値パラメータq、sが推定されます。下限はq、上限はq + sと表され、ベータ分布の値はq ≤ x ≤ (q + s)の区間に収まります。qは最小値、sは範囲によってそれぞれ推定されます。標準ベータ分布は、q = 0、s = 1 です。
[分布パラメータの指定]オプションを選択すれば、パラメータを任意の値に設定できます。その際、上側の閾値はデータの最大値以上、下側の閾値はデータの最小値以下にしなければなりません。[分布パラメータの指定]オプションの詳細については、あてはめた分布のオプションを参照してください。
確率密度関数:
ただし q ≤ x ≤ q + s; 0 < s,a,b
E(x) =
Var(x) =
ここで、B(·)はベータ関数です。
正規混合分布のあてはめについては、二重正規混合のあてはめと三重正規混合のあてはめを参照してください。
[平滑曲線]オプションは、ノンパラメトリックな密度の推定値(カーネル密度推定)を計算し、平滑曲線をあてはめます。ヒストグラム上に平滑曲線が表示され、プロットの下にスライダが表示されます。スライダを使ってカーネル標準偏差を変更することで、平滑化の度合いを調節できます。[カーネル標準偏差]の初期値は、データの標準偏差に基づいて算出されます。
SHASH分布のあてはめについては、SHASHのあてはめを参照してください。
Johnson の分布システムは、変換すると正規分布になる3つの分布で構成されています。3つの分布は、次のとおりです。
• Johnson Su(有界でない)
• Johnson Sb(パラメータにより定義される有界を上下に持つ)
• Johnson Sl(パラメータにより定義される有界を上下のいずれかに持つ対数正規分布)
Sは「システム」、添え字は範囲を示します。JMPで採用されている手法とは異なりますが、各Johnsonシステムの選択基準については、Slifker and Shapiro(1980)が参考になります。
Johnson分布システムは、柔軟性が高いことで人気があります。これら3つで構成される分布システムは、歪度と尖度のあらゆる組み合わせに対応しており、柔軟にデータにあてはまります。
Zを標準正規変量とすると、分布システムは次のように定義されます。

Johnson Suの場合は、


Johnson Sbの場合は、


Johnson Slの場合は、s = ±1で


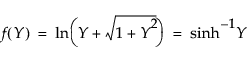
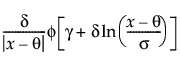
確率密度関数:
ただし -∞ < x, q, g < ∞; 0 < q,d
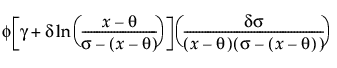
確率密度関数:
ただし q < x < q+s; 0 < s
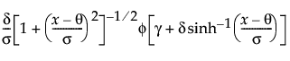
確率密度関数:
ただし s = 1の場合q < x、 s = -1の場合q > x
ここで、f(·)は標準正規分布の確率密度関数です。
次の点を念頭に置いてください。
• パラメータ推定値は、コンピュータの演算順序と精度によって異なる値になる可能性があります。
• デフォルトのレポートには、パラメータの信頼区間は表示されません。Johnsonの分布は正規分布へと変換するためのものであり、パラメータの信頼区間にはあまり意味がないためです。パラメータの信頼区間を表示するには、レポートを右クリックし、[列]>[下側95%信頼限界]と[上側95%信頼限界]を選択します。
この分布は、生物検定法など、正規分布に従うことがほとんどなく、分散が一定でないデータに役立ちます。[一般化対数]分布は、m(位置)、s(尺度)、l(形状)の3つのパラメータで記述されます。
確率密度関数:
ただし 0 ≤ λ; 0 < s; -∞ < m < ∞
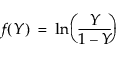
一般化対数分布は、正規分布に簡単に変換することができ、正規分布とは次のような関係にあります。
z =
~ N(0,1)のとき、x ~ Glog(m,s,l)
l = 0の場合、一般化対数分布はLogNormal (m,s)に等しくなります。
注: デフォルトのレポートには、パラメータの信頼区間は表示されません。一般化対数分布は正規分布へと変換するためのものであり、パラメータの信頼区間にはあまり意味がないためです。パラメータの信頼区間を表示するには、レポートを右クリックし、[列]>[下側95%信頼限界]と[上側95%信頼限界]を選択します。
このオプションを選択すると、用意されているほとんどすべての分布があてはめられ、「分布の比較」レポートにおいて、AICcが小さい順に、それらの分布の名前が表示されます。
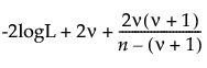
AICcは、次のような式で計算されます。
AICc = 
ここで、
– logLは対数尤度
– nは標本サイズ
– nはパラメータの個数
列に負の値がある場合は、正の値のみを対象とする分布は除外されます。また、連続分布のみが表示されます。連続分布でも、閾値パラメータがある分布(ベータ分布やJohnson Sb分布など)は除外されます。