ここでは、[離散分布のあてはめ]メニューで用意されている統計分布について説明します。
注: JMP 15では、分布のあてはめの一部の機能が新しくなりました。ここでは、互換性のために残されているJMP旧版の機能について説明します。旧版のメニューを表示するには、変数の赤い三角ボタンをクリックし、[連続分布のあてはめ]>[旧版のメニューを有効にする]を選択してください。
Poisson分布のあてはめについては、Poissonのあてはめを参照してください。
ガンマPoisson分布は、平均mが異なる複数のPoisson分布から、データが生成されているときに役立ちます。例として、複数の交差点で発生した事故の発生数などが挙げられます。この場合、各交差点における事故発生数の平均(m)は、交差点によって異なると考えられます。
ガンマPoisson分布は、x|mが平均mのPoisson分布に従い、その平均がパラメータ(a,t)のガンマ分布に従うという仮定から導出できます。ガンマPoisson分布には、l = atとs = t+1の2つのパラメータがあります。パラメータsは過分散パラメータです。s > 1の場合は、過大分散、つまり通常のPoisson分布よりも分散が大きくなります。s = 1の場合、xの分布は平均lのPoisson分布になります。
確率関数:
ただし 0 < l; 1 ≤ s; x = 0,1,2,...
E(x) = l
Var(x) = ls
ここで、Γ(·)はガンマ関数です。
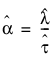
前述のとおり、x|mは平均mのPoisson分布に従い、mはパラメータ(a,t)のガンマ分布に従っていると仮定されています。このプラットフォームでは、l = atおよびs = t+1がパラメータとして推定されます。aとtの推定値は、次式により計算できます。


ただし、sの推定値が1の場合は、上記の式を使用できません。その場合、ガンマPoisson分布は平均lのPoisson分布に等しくなり、
がそのlの推定値となります。
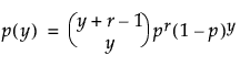
aの推定値が整数の場合、ガンマPoisson分布は、次の確率関数を持つ負の二項分布に等しくなります。
ただし 0 ≤ y
ここでr = aおよび(1-p)/p = t
「Samples/Scripts」フォルダの中の「demoGammaPoisson.jsl」を実行すると、パラメータlとsのガンマPoisson分布とパラメータlのPoisson分布を比較できます。
二項分布のあてはめについては、二項のあてはめを参照してください。
ベータ二項分布のあてはめについては、ベータ二項のあてはめを参照してください。