公開日: 04/01/2021

Image shown here分布の統計的詳細

「一般化回帰」手法で使われる分布の密度関数(確率関数)・期待値・分散を、以下に示します。なお、「一般化回帰」手法の離散分布では、同じ確率関数を使って、整数以外のデータ値も処理します(以下の計算式では、離散分布は整数値のみをとるように説明しています)。

Image shown here連続変数の分布

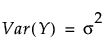
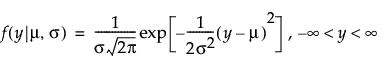
正規分布

Equation shown here

Equation shown here

Equation shown here

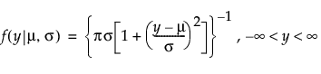
Cauchy分布

Equation shown here

Equation shown here

Equation shown here

指数分布

Equation shown here

Equation shown here

Equation shown here

ガンマ分布

Equation shown here

Equation shown here

Equation shown here

Weibull分布

Equation shown here

Equation shown here

Equation shown here

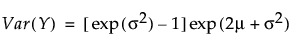
対数正規分布

Equation shown here

Equation shown here

Equation shown here

ベータ分布

Equation shown here

Equation shown here

Equation shown here

Image shown here離散分布

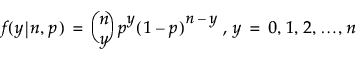
二項分布

Equation shown here

Equation shown here

Equation shown here

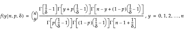
ベータ二項分布

Equation shown here

Equation shown here

Equation shown here

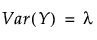
Poisson分布

Equation shown here

Equation shown here

Equation shown here

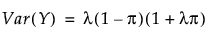
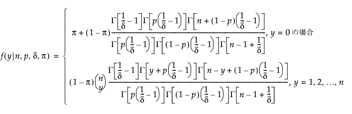
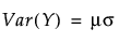
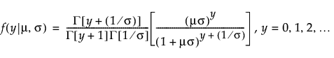
負の二項分布

Equation shown here

Equation shown here

Equation shown here

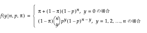
Image shown hereゼロ強調分布

ゼロ強調 二項分布

Equation shown here

Equation shown here

Equation shown here

ゼロ強調 ベータ二項分布

Equation shown here

Equation shown here

Equation shown here

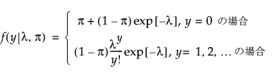
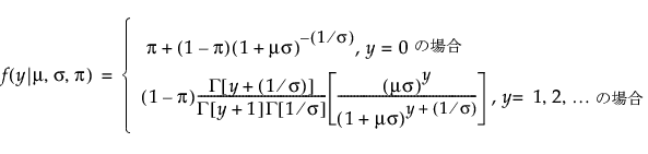
ゼロ強調 Poisson分布

Equation shown here

Equation shown here

Equation shown here

ゼロ強調 負の二項分布

Equation shown here

Equation shown here

Equation shown here

ゼロ強調 ガンマ分布

Equation shown here

Equation shown here

Equation shown here

より詳細な情報が必要な場合や、質問があるときは、JMPユーザーコミュニティで答えを見つけましょう (community.jmp.com).