公開日: 04/01/2021

判別比の統計的詳細

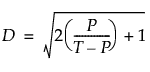
判別比とは、測定誤差の分散を、測定値全体の合計分散と比べた指標です。判別比は、枝分かれしたものも含め、すべての主効果に対して計算されます。判別比(D)は、次式で計算されます。

Equation shown here

ここで

P = 該当する要素の分散(の推定値)

T = 合計分散(の推定値)

より詳細な情報が必要な場合や、質問があるときは、JMPユーザーコミュニティで答えを見つけましょう (community.jmp.com).