[1標本割合]の検出力計算では、2項分布に基づく正確な確率が使われます。[1標本割合]では、正確な計算によって検出力を求めています。
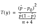
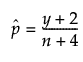
[近似Agresti-Coull検定の正確検出力計算]では、近似的な検定である調整済みWald検定に対する検出力を正確に求めます。JMPは、両側検定の検出力を次のように計算します。

ここで



χ1-αは、Χ12分布の累積確率(1 - α)における分位点。
nやp0に対しては閉じた解がないため、数値的なアルゴリズムを用いてnやp0が求められます。
調整済みWald検定については、Agresti and Coull(1998)を参照してください。JMPにおける計算についての詳細は、Barker(2011, Section 3.3)を参照してください。
正確二項検定(Clopper-Pearson検定)は、二項分布に基づく手法で算出される正確検定です。この検定では、常に、実際の有意水準が名目的な有意水準以上になります。つまり、正確二項検定の結果は、近似Agresti‐Coull検定よりも保守的になります。
正確二項検定では、二項分布の確率を直接計算します。検出力の計算では、閉じた解がないので、数値的なアルゴリズムが使われています。
正確二項検定の詳細については、Clopper and Pearson(1934)またはAgresti and Coull(1998, Section 1)を参照してください。