実験計画(DOE) > 検出力と標本サイズ > [シグマクオリティの水準] > [シグマクオリティの水準]の統計的詳細
公開日: 04/01/2021

[シグマクオリティの水準]の統計的詳細

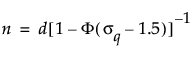
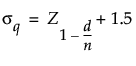
[シグマクオリティの水準]は、機会数をn、不適合数をdとしたときのシグマクオリティの水準σqの定義に基づいて計算されます。

Equation shown here

この定義から、dnを次のように求めることができます。

Equation shown here

Equation shown here

ここで、Φ()は標準正規分布に従う累積分布関数、Z1-d/nは、標準正規分布の(1 - d/n)番目の分位点です。

より詳細な情報が必要な場合や、質問があるときは、JMPユーザーコミュニティで答えを見つけましょう (community.jmp.com).