この節では、拡張計画におけるSpace Filling(空間充填)のアルゴリズムについて詳しく説明します。
拡張計画におけるSpace Fillingのアルゴリズムでは、まず、計画領域内に多数の乱数の点を生成します。次に、この多数の点を、高速Ward法によるクラスター分析によって、追加する実験回数を個数としたクラスターにまとめます。
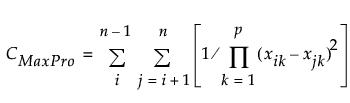
最後に、計画全体(既存の実験と追加の実験とを合わせたもの)におけるMaxPro(maximum projection; 最大投影)が最適になるような計画点を求めます。因子数をp、既存の実験と追加の実験を合わせた実験回数をnとした場合、MaxPro基準によるアルゴリズムでは、次の基準を最小にする点を、各クラスターから1つ取り出します。

MaxPro基準では、すべての因子を考慮して、点間の距離の積を最大にしようとします。この基準を最適化すると、因子の射影に関して、空間充填の良い性質をもつようになります。Joseph et al.(2015)を参照してください。