公開日: 04/01/2021

ストレス

ストレスの定義では、次のような表記が使用されます。

i、j - 対象に対する添え字

dij - 対象iと対象jとの類似度の予測値

dij - 対象iと対象jとの間の相対距離の観測値

f(drs) - 類似度を変換する関数

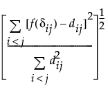
ストレス関数の計算式は次のとおりです。

Stress = Equation shown here

この測度は、Kruskalのストレス、タイプI、ストレスIとも呼ばれます。

より詳細な情報が必要な場合や、質問があるときは、JMPユーザーコミュニティで答えを見つけましょう (community.jmp.com).