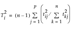
i番目のデータ行におけるT2値は次式で計算されます。

ここで、tijは、第i行における第j因子のXスコア、pは因子数、nはモデルの学習に使用されたデータの行数です。検証データが使われていない場合、nは、データ全体の行数です。
T2プロットの管理限界は次のように計算されます。
((n-1)2/n)*BetaQuantile(0.95, p/2, (n-p-1)/2)
ここでも、pは因子数、nはモデルの学習に使用されたデータの行数です。検証データが使われていない場合、nは、データ全体の行数です。Tracy et al.(1992)を参照してください。