ここでは、片側許容区間と両側許容区間の統計的詳細について説明します。
許容区間は、片側区間の場合、次式によって計算されます。
下側の場合= 
上側の場合= 
ここで、

sは標準偏差です。
tは非心t分布の分位点です。
F-1は標準正規分布の分位点です。
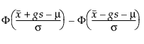
両側区間は次の式で計算されます。

この式で、sは標準偏差、g(1-a/2; p,n)は定数です。
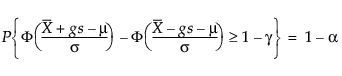
gは、許容区間内に母集団の観測値が収まる割合に基づき計算されます。この割合は、次のように定義されます(Tamhane and Dunlop(2000))。

Fは標準正規分布の累積分布関数を表します。
この割合に対して、gは次式を解くことにより計算されます。

1-gが、母集団の観測値のうち、許容区間に含まれるものの割合となります。
正規分布に基づく許容区間の詳細については、Meeker et al.(2017)の表J.1a、J.1b、J.6a、J.6bを参照してください。
片側−下側の許容限界100(1 - a)%(標本サイズnの標本分布において比率b以上のデータを含む)は、順序統計量x(l)となります。指数lは次のように計算されます。

ここで、F-1bin(1-a, n, b)は、試行n回、成功確率bの二項分布の第(1 - a)分位点です。
実際の信頼水準は、Fbin(n-l, n, b)で計算されます。ここで、Fbin(x, n, b)は、試行n回、成功確率bの二項分布において、ランダム変数がx以下になる確率です。
なお、分布によらない片側−下側の許容限界を計算するには、標本サイズがnが
以上であることが前提となります。
片側−上側の許容限界100(1 - a)%(標本サイズnの標本分布において比率b以上のデータを含む)は、順序統計量x(u)となります。指数uは次のように計算されます。

ここで、F-1bin(1-a, n, b)は、試行n回、成功確率bの二項分布の第(1 - a)分位点です。
実際の信頼水準は、Fbin(u-1, n, b)で計算されます。ここで、Fbin(x, n, b)は、試行n回、成功確率bの二項分布において、ランダム変数がx以下になる確率です。
なお、分布によらない片側−上側の許容限界を計算するには、標本サイズnが
以上であることが前提となります。
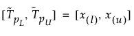
両側の許容区間100(1 - a)%(標本サイズnの標本分布において比率b以上のデータを含む)は、次のように計算されます。

ここで、x(i)はi番目の順序統計量で、lとuは次のように計算されます。
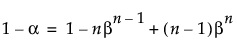
n = n - F-1bin(1-a, n, b)としましょう。ここで、F-1bin(1-a, n, b)は、試行n回、成功確率bの二項分布の第(1 - a)分位点です。nが2未満の場合、分布によらない両側の許容区間は計算できません。nが2以上の場合、l = floor(n/2)、u = floor(n + 1 - n/2)です。
実際の信頼水準は、Fbin(u-l-1, n, b)で計算されます。ここで、Fbin(x, n, b)は、試行n回、成功確率bの二項分布において、ランダム変数がx以下になる確率です。
なお、分布によらない両側の許容区間を計算するには、標本サイズがnが、次の式を満たすようなn以上であることが前提となります。

分布によらない許容区間については、Meeker et al.(2017, sec.5.3)を参照してください。