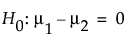
[2標本平均]は、2つの平均の仮説検定を行うための標本サイズを計算します。与えられた標本サイズ、有意水準、希望の検出力、データに想定される変動に対してどの大きさの効果を検出できるか、といった問いを調べることができます。標本サイズと検出力の計算で想定されている検定は、次のような帰無仮説に対するものです。

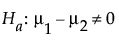
計算で想定されている検定は両側検定であり、対立仮説は次のとおりです。

ここで、μ1およびμ2は、2つの母集団の母平均です。母集団が正規分布に従っていること、そして平均間のδの差を検出したいことが計算の前提です。