会計の場合、要約を得るためには金額を合計します。自然科学の観測値には不確定性やノイズがあるので、データを要約するためには統計的な指標が必要です。金額を加算できるのと同じように、正しい指標を使えば、不確定性も加算できます。
確率そのものは最適な指標とは言えません。なぜなら、結合確率を得るには、各観測値が独立していると仮定した場合、確率を合計するのではなく、掛け合わせなければならないからです。そこで、確率ではなく、確率の対数を取ります。確率の対数なら、合計するだけで結合確率の対数が求められるからです。
ただし、0~1の数値の対数を取るわけですから、確率の対数は常に負の値になります。JMPでは、数値を正にするために、確率の対数の符号を逆にしています。確率が小さければ小さいほど、符号を逆にした対数は大きくなります。この測度が「不確定性」(uncertainty; 起こりにくさ)と呼ばれるもので、その値は確率とは逆の意味を持ちます。
ビジネスでは、売上を最大にし、コストを最小限に抑えるのが目的ですが、自然科学では、不確定性を最小限に抑えるのが目的です。自然科学での不確定性は、ビジネスでのコストに例えることができます。どの統計手法でも、不確定性を最小化するようなモデルがあてはめられます。
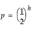
不確定性を具体的に説明するのは難しくありません。コインを何回か投げるとしましょう。各結果は独立しています。コインを投げて表が出る確率は0.5です。2を底とする対数では、-log(0.5)は1になります。コインを投げたときにh回続けて表が出る確率は、次のような式で表されます。

これらの式を、hについて解くと、次のようになります。

あるイベントの不確定性は、50%で生じるイベントの場合、「コインの表」が続けて出る回数に例えられます。
統計的な分析を行う際、根底には-logp、つまり不確定性があります。統計の文献では、不確定性は、「負の対数尤度」(negative log likelihood; 符号を逆にした対数尤度)と呼ばれています。