選択モデルでは、消費者の効用(utility)がパラメータ推定値から算出されます。「効用」とは、特定の属性をもつ製品から消費者が得る満足度のことで、モデルのパラメータ推定値から算出されます。なお、効用が線形関数で表されている場合、パラメータ推定値は限界効用(marginal utility)を示します。
選択モデルは、次のように表わされます。
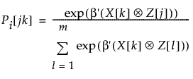
X[k]を、切片も含んだ、被験者属性を示す行ベクトルとし、
Z[j]を、切片のない、選択属性を示す行ベクトルとします。
この場合、第k被験者が、m個の選択肢のなかから、j番目のものを選択する確率は、次式で表されます。

この式で、
– ⊗は、Kronecker積です。
– 分子は、実際に選択されたj番目の選択肢に対する値です。
– 分母は、その質問で被験者に提示されたm個の選択肢すべての合計を示します。