van der Voet T2検定は、ある因子数のモデルが、最適とみなされた因子数のモデルと有意に異なるかどうかを検定します。この検定は、「両モデルの残差の2乗は、まったく同じ分布に従っている」という帰無仮説を、無作為化検定(ランダム化検定)の枠組みで検定します。この帰無仮説は、言い換えれば、「両方のモデルの予測能力は同じである」ということになります。
「交差検証」レポートに表示されるvan der Voet T2の統計量を求めるために、以下で述べる計算が各検証セットに対して実行されます。検証セットが1つの場合、その1つの検証セットに対する結果がレポートされます。[1つ取って置き法]と[K分割]の場合は、各検証セットの結果を平均したものがレポートされます。
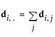
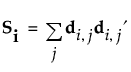
因子数がiであるモデルの第k応答変数の第j行における予測残差をRi, jkとします。Ropt, jkは、提案された最適な因子数optに基づくモデルに対応する量を表します。検定統計量は次の差に基づきます。

K個の応答があるとします。次の表記を使用します。



i個の因子のvan der Voet統計量は、次のように定義されます。

有意水準はデータから得られたCiと、R2i, jkとR2opt, jkを無作為に交換して得られた値の分布を比較して算出されます。モンテカルロシミュレートによって無作為に交換された分布が求められ、それらの標本のうちで検定統計量がCι以上である割合が、有意水準として表示されます。