公開日: 04/01/2021

分散計算式のパラメータ化

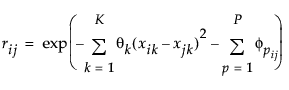
カテゴリカルな説明変数が含まれていない場合は、保存される分散計算式は、前々節で説明したRの計算式が使用されます。カテゴリカルな説明変数が含まれる場合、Rの各要素を求めるのに、次の計算式が使われます。

この式において、です。その他の変数は前に定義したとおりです。

より詳細な情報が必要な場合や、質問があるときは、JMPユーザーコミュニティで答えを見つけましょう (community.jmp.com).