ここでは、正規分布に従うデータの工程能力指数の計算方法について具体的に説明します。
平均mと標準偏差sを持つ工程において、母集団の工程能力指数は次のように定義されます。そして、標本の工程能力指数は、各パラメータをその推定値に置き換えて計算されます。
Cp = 
Cpl = 
Cpu = 
Cpk = 
Cpm = 
Target Index = 
この計算式では、次のような表記を使用しています。
LSL = 下側仕様限界
USL = 上側仕様限界
T = 目標値
群内シグマの工程能力では、ユーザが指定したサブグループ分けの方法を使って、sが推定されます。全体シグマの工程能力では、標本の標準偏差を使ってsが推定されます。どちらか一方の仕様限界しか指定していない場合、指定されていない仕様限界のほうの工程能力指数は欠測値となります。
メモ: 環境設定のデフォルト設定である[AIAG (Ppk)ラベル]を指定した場合、全体シグマに基づいた指数には、「Pp」・「Ppl」・「Ppu」・「Ppk」というラベルが使われます。ただし、指数Cpmに対するラベルは、全体シグマでも「Cpm」のままです。この節の式では、いずれの式でも「Pp」ではなくて「Cp」と呼んでいます。
工程能力指数の信頼区間は、正規分布の工程でのみ使用できます。信頼区間は、群内シグマおよび全体シグマの工程能力指数の両方で計算され、各列の詳細レポートに表示されます。
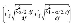
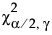
Cpの100(1 - a)%信頼区間は、次のように計算されます。

ここで
は、Cpの推定値
は、自由度dfのカイ2乗分布の(a/2)番目分位点
dfは、自由度
Nは、標本サイズ
mは、サブグループの数
全体シグマの工程能力指数においては、自由度はN - 1です。
群内シグマの工程能力においては、自由度はサブグループ化と、群内シグマの推定法に依存します。
• バランスのとれていないサブグループから計算される群内シグマの工程能力については、自由度の計算は、群内シグマの推定法に関わらず同じです。自由度はN - mです。
• 各サブグループの標本サイズがn = N/mとなっているバランスのとれたデータから計算される群内シグマの工程能力については、自由度の計算は群内シグマの推定法に依存します。
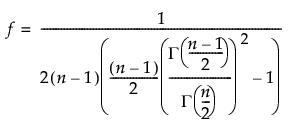
– 群内シグマを不偏標準偏差の平均によって推定する場合、自由度はf * (N - m)です。ここに0.875~1の値をとる定数 fが掛けられますが、これは次のように定義されます。

ここで、G(n)はnにおいて評価されたガンマ関数です。
詳細については、Bissell(1990)を参照してください。
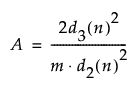
– 群内シグマを範囲の平均によって推定する場合、自由度はdf = 1/A - (3/16) * A + (3/64) * A2 + 0.25 として算出されます。Aは次のように定義されます。

d2(n)は、母標準偏差が1であるn個の独立した正規分布に従う確率変数の範囲の期待値
d3(n)は、母標準偏差が1であるn個の独立した正規分布に従う確率変数の範囲の標準偏差
詳細については、David(1951)を参照してください。
– 群内シグマをプールした不偏標準偏差によって推定する場合、自由度はN - mです。
• サブグループのない群内シグマの工程能力については、自由度の計算は群内シグマ推定法に依存します。
– 群内シグマを移動範囲の平均によって推定する場合、自由度は0.62 * (N - 1)として算出されます。
– 群内シグマを移動範囲の中央値によって推定する場合、自由度は0.32 * (N - 1)として算出されます。
詳細については、Wheeler(2004, p. 82)を参照してください。
Cpkの100(1 - a)%信頼区間は、次のように計算されます。

ここで
は、Cpkの推定値
は、(1 - a/2)番目の標準正規分布の分位点
dfは、自由度
Nは、標本サイズ
mは、サブグループの数
全体シグマの工程能力指数においては、自由度はN - 1です。
群内シグマの工程能力においては、自由度はサブグループ化と、群内シグマの推定法に依存します。
• バランスのとれていないサブグループから計算される群内シグマの工程能力については、自由度の計算は、群内シグマの推定法に関わらず同じです。自由度はN - mです。
• サイズn = N/mのバランスのとれたサブグループから計算される群内シグマの工程能力については、自由度の計算は群内シグマの推定法に依存します。
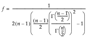
– 群内シグマを不偏標準偏差の平均によって推定する場合、自由度はf * (N - m)です。ここに0.875~1の値をとる定数 fが掛けられますが、これは次のように定義されます。

ここで、G(n)はnにおいて評価されたガンマ関数です。
詳細については、Bissell(1990)を参照してください。
– 群内シグマを範囲の平均によって推定する場合、自由度はdf = 1/A - (3/16) * A + (3/64) * A2 + 0.25 として算出されます。Aは次のように定義されます。

d2(n)は、母標準偏差が1であるn個の独立した正規分布に従う確率変数の範囲の期待値
d3(n)は、母標準偏差が1であるn個の独立した正規分布に従う確率変数の範囲の標準偏差
詳細については、David(1951)を参照してください。
– 群内シグマをプールした不偏標準偏差によって推定する場合、自由度はN - mです。
• サブグループのない群内シグマの工程能力については、自由度の計算は群内シグマ推定法に依存します。
– 群内シグマを移動範囲の平均によって推定する場合、自由度は0.62 * (N - 1)として算出されます。
– 群内シグマを移動範囲の中央値によって推定する場合、自由度は0.32 * (N - 1)として算出されます。
詳細については、Wheeler(2004, p. 82)を参照してください。
メモ: Cpmの信頼区間は、目標値が下側仕様限界と上側仕様限界の真ん中にあるときだけ計算されます。
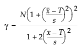
Cpmの100(1 - a)%信頼区間は、次のように計算されます。

ここで
は、Cpmの推定値
は、自由度gのカイ2乗分布の(a/2)番目分位点

Nは、標本サイズ
は、標本平均
Tは、目標値
sは、シグマの推定値
全体シグマの工程能力については、sは全体シグマ推定値です。群内シグマの工程能力については、sは群内シグマ推定値で置き換えられます。
ヒント: Cp・Cpk・Cpmの信頼区間についての詳細は、Pearn and Kotz(2006)を参照してください。
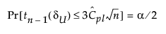
CplおよびCpuの上側信頼限界と下側信頼限界は、Chou et al.(1990)の方法を使用して計算されます。
(CPLLおよびCPLUで示される)Cplの100(1 - a)%信頼限界は、次の式を満たします。
この式で、
ここで
ここで
tn-1(d)は、自由度n - 1で非中心パラメータdのt-分布
は、Cplの推定値
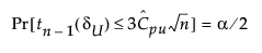
(CPULおよびCPUUで示される)Cpuの100(1 - a)%信頼限界は、次の式を満たします。
この式で、
ここで
ここで
tn-1(d)は、自由度n - 1で非中心パラメータdのt-分布
はCpuの推定値