検出力の事後計算として、JMPでは、調整済み検出力(Wright and O’Brien, 1988)を計算できます。調整済み検出力の計算では、非心度パラメータを推定するときに、その計算式のパラメータに単純に推定値を代入すると生じる正のバイアス(偏り)を調整します。
データから得られたdおよびsの推定値を、そのまま非心度パラメータlの式に代入した場合、次式で計算されます。

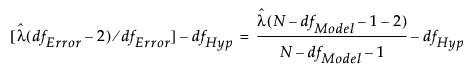
この推定値にはバイアスがあります。Wright and O’Brien(1988)によると、非心度パラメータの不偏推定値は、次式のようになります。

この式は、現在の標本サイズnと異なる標本サイズNを事後計算で想定した場合の、非心度パラメータの不偏推定値を求めます。ここで、dfHypは仮説の自由度、dfModelはモデル全体の自由度です。
なお、この式を解くと、非心度パラメータの推定値が負になる場合があります。負となる場合には、その負の非心度パラメータ推定値を0とします。こうして得られた推定値は正確な不偏推定値とはなっておらず、バイアスは少し残っています。こうして計算された、非心度パラメータの調整済み推定値は、次式で表されます。

調整済み検出力は、次式で計算されます。
Poweradj = 
非心度パラメータの信頼限界は、Dwass(1955)によると次のとおりです。
lに対する信頼区間下限 = 
lに対する信頼区間上限 = 
調整済み検出力の信頼限界は、このlの信頼限界を次式に代入して計算されます。
Power = 