公開日: 11/25/2021

「相関」レポート

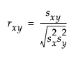
このレポートに表示される相関は、Pearsonの相関係数です。Pearsonの相関係数は、"r"という記号で表されることが多いです。次式で計算されます。

Equation shown here この式で、Equation shown here

この式のwiは、「重み」列を指定してあるときはi番目のオブザベーションの重み、「重み」列がないときは1です。

より詳細な情報が必要な場合や、質問があるときは、JMPユーザーコミュニティで答えを見つけましょう (community.jmp.com).