実験計画(DOE)
>
技術的詳細
>
交絡行列
> 変更が「困難」または「非常に困難」な因子を含む計画の交絡行列
公開日: 11/25/2021
変更が「困難」または「非常に困難」な因子を含む計画の交絡行列
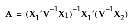
変更が「困難」な、または、「非常に困難」な因子がある場合、交絡行列は次式により計算されます。
ここで、
V
は応答変数の分散共分散行列で、ブロック対角行列になっています。
より詳細な情報が必要な場合や、質問があるときは、JMPユーザーコミュニティで答えを見つけましょう
(community.jmp.com)
.
このサイトはJavaScriptを有効にすると最適に動作します。