Beta Binomial Distribution(k, p, n, delta)
説明
ベータ二項分布の下側累積確率を戻す。ベータ二項分布に従う確率変数がk以下になる確率です。下側累積確率は、Xの値が0からkまでの範囲において、ベータ二項分布の確率を累積した値です。
引数
k
下側累積確率を求めたい度数。kは整数でなければなりません。
p
各試行の成功確率。値は0~1の間でなければなりません。
n
試行回数。値は1より大きくなければなりません。
delta
過分散パラメータ。値の範囲は、Maximum[-p/(n-p-1), -(1-p)/(n-2+p)]~1です。過分散パラメータがゼロの場合、分布はBinomial(n, p)になります。
Beta Binomial Probability(k, p, n, delta)
説明
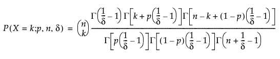
ベータ二項分布の確率を戻す。ベータ二項分布に従う確率変数がkと等しくなる確率を戻します。確率関数は、次式のとおりです。

引数
k
確率を求めたい度数。kは整数でなければなりません。
p
各試行の成功確率。値は0~1の間でなければなりません。
n
試行回数。値は1より大きくなければなりません。
delta
過分散パラメータd。値の範囲は、Maximum[-p/(n-p-1), -(1-p)/(n-2+p)]~1です。過分散パラメータがゼロの場合、分布はBinomial(n, p)になります。
メモ
ベータ二項分布は、x|pがBinomial(n,p)に従い、pがBeta(p(1-d)/d,(1-p)(1-d)/d)に従うという仮定から導出できます。データが、異なる成功確率を持つ複数の二項分布の組み合わせである場合に有用です。
次も参照
『基本的な統計分析』の一変量の分布
Beta Binomial Quantile(p, n, delta, cumprob)
説明
ベータ二項分布の分位点関数。パラメータが(p, n, delta)であるベータ二項分布の下側累積確率がcumprob以上となるような整数の分位点のうち、最小のものを戻す。
引数
p
各試行の成功確率。pは0~1の間でなければなりません。
n
試行回数。値は1より大きくなければなりません。
delta
過分散パラメータd。値の範囲は、Maximum[-p/(n-p-1), -(1-p)/(n-2+p)]~1です。過分散パラメータがゼロの場合、分布はBinomial(n, p)になります。
cumprob
下側累積確率。cumprobは0~1の間でなければなりません。
Binomial Distribution(p, n, k)
説明
二項分布の下側累積確率を戻す。二項分布に従う確率変数がk以下になる確率です。下側累積確率は、Xの値が0からkまでの範囲において二項分布の確率を累積した値です。
引数
p
各試行の成功確率。pは0~1の間でなければなりません。
n
試行回数。
k
成功回数。値は、n以下でなければなりません。
Binomial Probability(p, n, k)
説明
二項分布の確率を戻す。これは、二項分布に従う変数がkと等しくなる確率です。確率関数は、次式のとおりです。

引数
p
各試行の成功確率。pは0~1の間でなければなりません。
n
試行回数。
k
成功回数。値は、n以下でなければなりません。
Binomial Quantile(p, n, cumprob)
説明
パラメータが(p, n)であるベータ二項分布の下側累積確率がcumprob以上となるような整数の分位点のうち、最小のものを戻す。
引数
p
各試行の成功確率。pは0~1の間でなければなりません。
n
試行回数。
cumprob
下側累積確率。cumprobは0~1の間でなければなりません。
Gamma Poisson Distribution(k, lambda, sigma)
説明
ガンマPoisson分布の下側累積確率を戻す。これは、ガンマPoisson分布に従う確率変数がk以下になる確率です。下側累積確率は、Xの値が0からkまでの範囲において、ガンマPoisson分布の確率を累積した値です。
引数
k
下側累積確率を求めたい度数。kは整数でなければなりません。
lambda
形状パラメータl。値は0より大きくなければなりません。これは、分布の平均です。
sigma
過分散パラメータs。値は1以上でなければなりません。過分散パラメータが1の場合、分布はPoisson(l)分布になります。
Gamma Poisson Probability(k, lambda, sigma)
説明
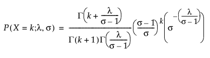
ガンマPoisson分布の確率を戻す。これは、ガンマPoisson分布に従う確率変数がkに等しくなる確率です。確率関数は、次式のとおりです。

ここで、G(·)は、ガンマ関数です。
引数
k
確率を求めたい度数。kは整数でなければなりません。
lambda
形状パラメータl。値は0より大きくなければなりません。これは、分布の平均です。
sigma
過分散パラメータs。値は1以上でなければなりません。過分散パラメータが1の場合、分布はPoisson(l)分布になります。
メモ
ガンマPoisson分布は、X|mが平均mのPoisson分布に従い、その平均がGamma(l/(s-1),s-1)分布に従うという仮定から導出できます。データが、異なるmを持つ複数のPoisson(m)分布の組み合わせである場合に有用です。
次も参照
『基本的な統計分析』の一変量の分布を参照してください。
Gamma Poisson Quantile(lambda, sigma, cumprob)
説明
ガンマPoisson分布の分位点関数。パラメータが(lambda, sigma)であるガンマPoisson分布の下側累積確率がcumprob以上となるような整数の分位点のうち、最小のものを戻す。
引数
lambda
形状パラメータl。値は0より大きくなければなりません。これは、分布の平均です。
sigma
過分散パラメータs。値は1以上でなければなりません。過分散パラメータが1の場合、分布はPoisson(l)分布になります。
cumprob
下側累積確率。cumprobは0~1の間でなければなりません。
Hypergeometric Distribution(N, K, n, x, <r>)
説明
超幾何分布の下側累積確率を戻す。これは、超幾何分布に従う確率変数がx以下になる確率です。下側累積確率は、Xの値が0からxまでの範囲において、超幾何分布の確率を累積した値です。
必須の引数
N
母集団のサイズ。
k
母集団の中で対象となるカテゴリに属する個数。
n
標本サイズ。
x
対象となる度数。値は、nおよびk以下でなければなりません。
オプションの引数
r
オッズ比。
Hypergeometric Probability(N, k, n, x, <r>)
説明
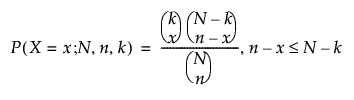
超幾何分布の確率を戻す。これは、超幾何分布に従う確率変数がxと等しくなる確率です。確率関数は、次式のとおりです。

必須の引数
N
母集団のサイズ。
k
母集団の中で対象となるカテゴリに属する個数。
n
標本サイズ。
x
対象となる度数。値は、nおよびk以下でなければなりません。
オプションの引数
r
オッズ比。
Neg Binomial Distribution(p, n, k)
説明
負の二項分布の下側累積確率を戻す。これは、成功確率がpのときに、n回成功するまでに失敗する回数が、k回以下である確率です。下側累積確率は、Xの値が0からkまでの範囲において負の二項分布の確率を累積した値です。
引数
p
各試行の成功確率。pは0~1の間でなければなりません。
n
成功回数。
k
n回目の成功の前にあった失敗の回数。
Neg Binomial Probability(p, n, k)
説明
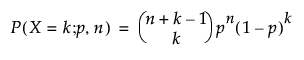
負の二項分布の確率を戻す。これは、負の二項分布に従う確率変数がkと等しくなる確率です。確率関数は、次式のとおりです。

引数
p
各試行の成功確率。pは0~1の間でなければなりません。
n
成功回数。
k
n回目の成功の前にあった失敗の回数。
メモ
確率関数の戻り値は、n回成功するまでにk回失敗する確率です。
Poisson Distribution(lambda, k)
説明
Poisson分布の下側累積確率を戻す。これは、指定の平均(lambda)を持つPoisson分布に従う確率変数が、k以下になる確率です。下側累積確率は、Xの値が0からkまでの範囲において、Poisson分布の確率を累積した値です。
引数
k
指定した時間間隔におけるイベントの発生回数。kは整数でなければなりません。
lambda
形状パラメータl。値は0より大きくなければなりません。これは、分布の平均です。
Poisson Probability(lambda, k)
説明
Poisson分布の確率を戻す。これは、指定の平均(lambda)を持つPoisson分布に従う確率変数が、kに等しくなる確率です。確率関数は、次式のとおりです。

引数
k
指定した時間間隔におけるイベントの発生回数。kは整数でなければなりません。
lambda
形状パラメータl。正の値でなければなりません。これは、分布の平均です。
Poisson Quantile(lambda, cumprob)
説明
Poisson分布の分位点関数。パラメータがlambdaであるPoisson分布の下側累積確率がcumprob以上となるような整数の分位点のうち、最小のものを戻す。
引数
lambda
形状パラメータl。正の値でなければなりません。これは、分布の平均です。
cumprob
下側累積確率。cumprobは0~1の間でなければなりません。